| หัวข้อกระทู้ : ***** เข้ามาตรวจสอบยอดด่วน หลวงพ่อเจิม วัดหนองน้ำขุ่น ยอดจองแน่น ****** |
 (N)
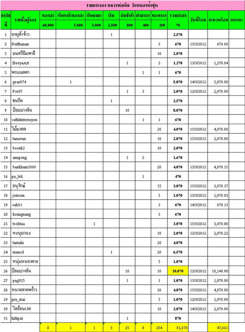
Up Date ยอดโอน ยอดจอง ล่าสุดครับ
มีของใคร ไม่ตรง ตรงแล้ว หรือ อย่างไร แจ้งด่วน !!!!!
ใครที่ยังไม่โอน รีบนะครับ พรุ่งนี้ให้วันสุดท้ายครับ
จะส่งยอดวัดแล้วนะครับ
รับรองว่า สุดยอด  |
|
โดยคุณ นุซัง (696) [ศ. 16 มี.ค. 2555 - 23:41 น.] | |
|